煤气流量的测量
在煤气生产、输送和分配各个环节有大量的煤气表,有的用于一般监视,有的用于贸易结算,其中用于贸易结算的计量系统,国家标准GB17167规定了其精确度要求。
(1)煤气流量测量的特点
a.流体静压低、流速低,允许压损小,一般不允许用缩小管径的方法提高流速。
b.流体湿度高,有的测量对象还带少量水,在管道底部作分层流动。
c.有的测量对象氢含量高,流体密度小,用涡街流量计测量时,信号较弱。
d. 煤气发生炉、焦炉等产出的煤气一般带焦油之类黏稠物,有的还带一定数量尘埃。
e.测量点位于压气机出口时,存在一定的流动脉动。
f. 流体属易燃易爆介质,仪表有防爆要求。
g.从小到大各种管径都有。
h.最小流量与最大流量差异悬殊。
i.用于贸易结算的系统,计量精确度要求高;作为一般监视和过程控制的系统,精确度要求则低一些。
(2)国家标准规定的主要内容2000年国家质量技术监督局发布了GB/T 18215.1《城镇人工煤气主要管道流量测量》第一部分采用标准孔板节流装置的方法,对煤气流量测量中的有关技术问题做了规定,其中:
①对流体的要求:“应是均匀的和单相(或可以认为是单相)的流体”。
②煤气在净化过程中都经过洗涤,因此一般水分含量都呈饱和状态,相对湿度为100%。
③用于贸易结算的测量系统准确度一般应优于2.5级。基本误差限以示值的百分比表示。
④煤气流量定义为湿气体中的干部分。
⑤测量结果以体积流量表示,并换算到标准状态。标准状态的定义除了一般取101.325kPa、20℃之外,还兼顾煤气行业的传统,也可取供需双方协商的其他温压和湿度。
⑥节流装置采用多管并联形式。
⑦在存在流动脉动的情况下,对测量平均流量提出了以下措施。
a.在管线上采用衰减措施,安装滤波器(由容器及管阻组成)。
b.仪表检测件尽量远离脉动源。
c.采用尽量大的β和 △p,在测量处减小管道直径。
d.管线、仪表支架安装牢固。
e.两根差压引压管阻力对称。
(3)仪表的类型与使用
可以用来测量气体的流量计有很多种,但测量煤气流量的理想仪表却几乎找不到,这主要是由煤气的特点所决定的。由于有焦油等黏稠物存在,旋转型的流量计使用困难。由于密度小、流速低,涡街流量计使用困难。由于富含水气以及气体组分有变化,热式流量计也不理想。最后还是已经使用几十年的差压式流量计唱主角。
①孔板差压流量计
a.可换孔板节流装置。国标GB/T18215-2000规定的是标准孔板。如果测量点流体较脏,需采用可换孔板节流装置。这样在不停气的条件下,可对节流件进行清洗、检修、更换。可换孔板节流装置典型结构如图3.20所示。
b.圆缺孔板。圆缺孔板是专为脏污流体流量测量而设计的特殊孔板。其开孔是一个圆的一部分(圆缺部分),这个圆的直径为管道内径的98%。开孔的圆弧部分应精确定位,使其与管道同心,如图3.21 所示。

当被测介质为湿气体而且管道水平布置时,管道底部有可能存在微量分层流动的液体,这时选用圆缺孔板能使液体从下半部的圆缺部分顺利通过节流件,而不会像标准孔板那样将液体阻挡在节流件前,以致积液,影响测量精确度。同样道理,当被测气体中含有粉尘时,由于粉尘密度比气体大得多,其中有些颗粒容易贴近管道底部被气流带走,选用圆缺孔板,颗粒也能顺利通过节流件,而不会像标准孔板那样颗粒在节流件前堆积。在冶金行业,煤气流量测量对象较多,而且因为煤气含粉尘和水滴的情况也很普遍,所以圆缺孔板使用得十分普遍。
c.多管并联形式。多管(两管、三管或四管)并联形式的作用有三个,其一是扩大测量系统的范围度。由于管道中煤气流速一般都很低,因此,一台孔板流量计的范围度能达到3:1,那么,用一台大口径孔板与一台小口径孔板相配合,就能将范围度扩大为10:1。其二是实现在总管不停气的情况下拆洗节流装置,从而避开价格昂贵的可换孔板节流装置。当然,节流装置上下游必须装切断阀。其三是解决DN>1000管道的流量测量问题。例如用4副 DN1000的节流装置并联使用,解决DN2000总管的流量测量。多管并联形式的缺点是设备数量和投资成倍增加。
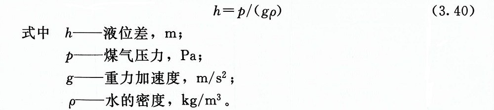
d.煤气管排水和防冻。水平敷设的煤气管道,有时发现管道底部有水流动,必须在节流装置前装排水设施。简单又可靠的方法是利用水封实现自动排水,如图3.22所示。图中的液位差与压力有如下关系。


在寒冷季节,排水设施内甚至地上敷设的煤气管道的水都有可能会结冰,为防冻害,应采取防冻措施。
②均速管差压流量计
标准孔板差压流量计在煤气流量测量中有极为重要的地位,有悠久的使用历史。由于这一方法有丰富的实验数据,设计加工已经标准化,只要按标准进行设计、加工、安装、检验和使用,无需进行实流标定,就能达到规定的准确度,因而非常方便,并获得广泛应用。但是在管径较大时,一套可换孔板式节流装置价格相当可观,所以如果测量数据仅用于过程监测,精确度要求也不高,那么就可选用均速管差压流量计。
均速管差压式流量计在气体流量测量中应用成败的关键是引压管不要被水滴堵住。由于定型的均速管产品所带的切断阀多半为针型阀,通径较小而流体中的水气经冷凝变成水滴,如果针型阀处理得不好或引压管坡度欠合理,此液滴极易将通路封死。
差压式均速管输出的差压信号一般都很小。当流体为常温常压的空气时,如果流速为10m/s,只能达到62.5Pa的差压。这样,一滴水滴将差压传送通道封住,就足以将此差压全部抵消掉。有的制造商将正负压切断阀改为通径较大的直通闸阀,为保证仪表的可靠使用创造了条件。均速管典型安装位置以及同差压计的连接如图3.23所示。

(4)用差压式流量计测量湿煤气干部分所用的公式
式(3.1)和图3.1所示的方法同样适用于煤气流量的测量。只是由于流体的性质不同,基本公式中ρ1的求法不同。由于测量任务的不同,要从基本公式中的质量流量qm进一步计算湿煤气的干部分流量还必须补充其他公式。
①煤气密度计算公式


