一、蒸汽质量计量与热量计量
以往蒸汽贸易结算,由于测量手段落后,国内外都沿用质量计量法。尽管人们对这种方法的合理性早有质疑,但由于质量流量测量相对较简单,而热量计量方法在模拟式仪表中实现较为困难,因而质量计量法还是为人们所接受。
在计算机技术进入流量仪表之后,蒸汽热量计量和质量计量都变得简单了,于是人们实现热量计量的呼声就变成了具体行动。
水蒸气是使用最普遍的热载体。但是在其发生和输送过程中,状态变化难以避免,锅炉出口或减温减压站出口的蒸汽、温度和压力总是有一定幅度的变化,于是蒸汽的比焓(单位质量蒸汽所含的热量)相应变化。更严重的问题是蒸汽经过长距离输送后,由于沿途损失热量,蒸汽的品位下降,例如在减压站出口处,蒸汽的工况为p=0.9MPa(A)、t=280℃,这时的比焓为3012.0kJ/kg,而到末端用户处,工况就可能变成p=0.8MPa的饱和蒸汽,这时的比焓降为2767.5kJ/kg。而且这种工况也不是固定不变的,随着季节的变化、天气的变化、用户负荷的变化等,管道中的蒸汽压力和温度总是在变化着的。采用质量计量法最吃亏的是末端用户。
质量计量方法对供方来说也并不总是合算的,因为供方对用户承诺的蒸汽品质指标不可能恰到好处。为了确保承诺的指标,供方总是要留有裕度,此裕度对供方来说就意味着利润的流失。
改用热量计量后,计量结果既包含了蒸汽的数量,也包含了蒸汽的品质,上述的几种不合理现象被消除,因而体现了计量的公平和公正。
二、蒸汽热量的计量方法
蒸汽热量计量是建立在蒸汽质量计量基础上的,它们之间的基本关系是蒸汽质量与单位质量的蒸汽所包含的热量的乘积,即为热流量。但是,随着工艺流程的差异和参考点不同,热流量计算的表达式也就不一样。
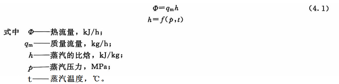
(1)冷凝水不返回的特殊用户
对于冷凝水不返回的特殊用户,其系统图如图4.1所示,其热量定义为以t=0℃的水之焓为参考点的实际使用条件下的蒸汽焓值。其表达式为

热量表(或流量演算器、计算机等)按照测量得到的蒸汽压力、温度,查存储在仪表内的蒸汽表格,得到蒸汽密度和比焓,进而计算qm和Φ。
该计量方法也可用来对蒸汽发生器输出热量进行计量。
由于该计量方法以t=0℃时水的焓为参考点,用户难免提出异议,因为动力厂原料水(冷水)中所含的热量也视同蒸汽中所含热量作价卖出,似有不合理之处。若冬季水温以10℃计,夏季水温以25℃计,低压蒸汽比焓以2.8MJ/kg计,则冷水中的热量与蒸汽中总热量之比在冬季约为1.4%,在夏季约为3.6%。解决这一问题的合理方法是供用双方协商一个双方都能接受的协议参考点,对表计量结果进行适当处理,作为结算热量。
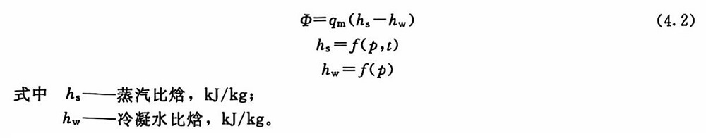
(2)蒸汽净热量计量
蒸汽净热量计量适用于冷凝水全额返回的用户,其系统如图4.2所示。其表达式为

为了简化起见,冷凝水温度假设与热交换器上游测量到的压力所对应的饱和蒸汽温度相等。
这一方法既适用于过热蒸汽,又适用于饱和蒸汽。
(3)热量差计量方法
热量差计量方法也适用于冷凝水全部返回的用户,其系统如图4.3所示。其测量原理是饱和蒸汽提供的热量扣除冷凝水中残存的热量,即为热交换器从蒸汽抽取的热量。其表达式为

这一方法仅适用于饱和蒸汽是因为目前商品化的定型的流量(热量)显示表通常只有三个模拟输入通道,如果用于过热蒸汽,就必须增加一个输入通道用于过热蒸汽温度信号的输入。实现的方法可用计算机。