四、用线性孔板差压流量计测量蒸汽质量流量
传统的孔板流量计最大的不足是在被测流量相对于满量程流量较小时,差压信号很小,这一缺点大大的影响其范围度和测量精确度。人们针对其不足在传统的孔板式差压流量计基础上开发了可变面积可变压头孔板流量计。因为其输出的差压信号与被测流量之间有线性关系,所以也称线性孔板差压流量计。
(1)线性孔板流量计工作原理
线性孔板又称弹性加载可变面积可变压头孔板,其环隙面积随流量大小而自动变化,曲面圆锥形塞子在差压弹簧力的作用下来回移动,环隙变化使输出信号(差压)与流量成线性关系,并大大地扩大范围度,其结构如图(3.34)所示。

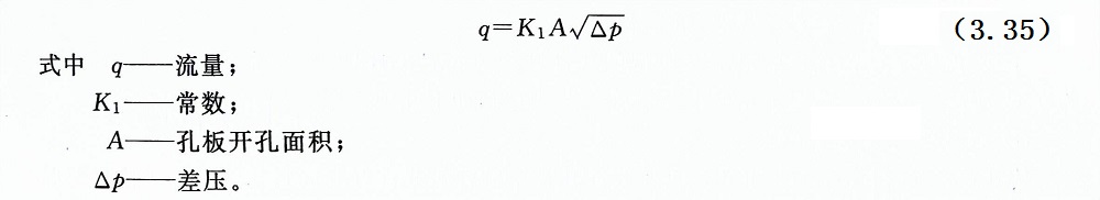
在孔板流量计中,当流体流过开孔面积为A的孔板时,流量q与孔板前后产生的差压之间有如下关系,即:

在如图3.34所示的线性孔板中,于孔板处插入一个仿锤形活塞,由差压引起的活塞-弹簧组件的压缩量(活塞的移动距离)为X,则式3.36成立,即:

由式(3.39)可知,流量与差压成线性关系,所以取出差压信号即可得到流量。
(2)特点
①范围度宽。在使用0.1%精确度的差压变送器时典型的线性孔板差压式流量计可测范围为1%~100%FS,保证精确度的范围为5%~100%FS(若使用更高精确度的差压变送器,如0.05%精确度,范围度可进一步提高),因此,对于流量变化大的测量对象,一台流量计就可解决。能适应蒸汽、燃油测量的夏季、冬季负荷变化。
②线性差压输出。差压信号与流量成线性关系,被测流量相对于满量程流量较小时,差压信号幅值也较大,有利于提高测量精确度。
③直管段要求低。由于孔板的变面积设计,使其成为在高雷诺数条件下工作的测量机构,可在紧靠弯管、三通下游的部位进行测量(为了保证测量精确度,要求上游直管段≥6倍管径,下游直管段≥3倍管径)。
(3)保证测量精确度的措施
典型的线性孔板流量计GILFLO承诺具有±1%精确度,为了达到这一指标,采取了几项重要措施,其中包括如下几项。
①对线性孔板逐台用水标定。
从式(3.36) 和式(3.37)可知,只要线性孔板中的弹簧线性好,而且活塞被加工成理想形状,使得流通面积A与位移X的1/2次方成线性关系,就能使差压与流量之间的线性关系成立。但是,活塞的曲面加工得很理想是困难的,最终不得不用逐台标定的方法来弥补这一不足。
Spirax-sarco公司对线性孔板进行逐台标定是以水为介质,不同口径的线性孔板均选择14个标定点,其中流量较小时,标定点排得较密,图3.40所示为一台DN200线性孔板标定曲线,图中的差压单位为inH2O(1inH2O=249.0889Pa)表3.41所列是一台DN200的线性孔板的实际标定数据,其中从体积流量换算到质量流量是建立在水的密度ρ=998.29kg/m3基础上的。

而利用标定数据对线性孔板的非线性误差进行校正还需借助于流量二次表。具体做法是将标定数据写入二次表中的折线表,然后二次表根据输入的差压信号(电流值)用查表和线性内插的方法求得水流量值qmw。
